arviz.plot_trace#
- arviz.plot_trace(data, var_names=None, filter_vars=None, transform=None, coords=None, divergences='auto', kind='trace', figsize=None, rug=False, lines=None, circ_var_names=None, circ_var_units='radians', compact=True, compact_prop=None, combined=False, chain_prop=None, legend=False, plot_kwargs=None, fill_kwargs=None, rug_kwargs=None, hist_kwargs=None, trace_kwargs=None, rank_kwargs=None, labeller=None, axes=None, backend=None, backend_config=None, backend_kwargs=None, show=None)[source]#
Plot distribution (histogram or kernel density estimates) and sampled values or rank plot.
If
divergences
data is available insample_stats
, will plot the location of divergences as dashed vertical lines.- Parameters:
- data: obj
Any object that can be converted to an
arviz.InferenceData
object Refer to documentation ofarviz.convert_to_dataset()
for details- var_names: str or list of str, optional
One or more variables to be plotted. Prefix the variables by
~
when you want to exclude them from the plot.- filter_vars: {None, “like”, “regex”}, optional, default=None
If
None
(default), interpret var_names as the real variables names. If “like”, interpret var_names as substrings of the real variables names. If “regex”, interpret var_names as regular expressions on the real variables names. A lapandas.filter
.- coords: dict of {str: slice or array_like}, optional
Coordinates of var_names to be plotted. Passed to
xarray.Dataset.sel()
- divergences: {“bottom”, “top”, None}, optional
Plot location of divergences on the traceplots.
- kind: {“trace”, “rank_bars”, “rank_vlines”}, optional
Choose between plotting sampled values per iteration and rank plots.
- transform: callable, optional
Function to transform data (defaults to None i.e.the identity function)
- figsize: tuple of (float, float), optional
If None, size is (12, variables * 2)
- rug: bool, optional
If True adds a rugplot of samples. Defaults to False. Ignored for 2D KDE. Only affects continuous variables.
- lines: list of tuple of (str, dict, array_like), optional
List of (var_name, {‘coord’: selection}, [line, positions]) to be overplotted as vertical lines on the density and horizontal lines on the trace.
- circ_var_names
str
orlist
ofstr
, optional List of circular variables to account for when plotting KDE.
- circ_var_units
str
Whether the variables in
circ_var_names
are in “degrees” or “radians”.- compact: bool, optional
Plot multidimensional variables in a single plot.
- compact_prop: str or dict {str: array_like}, optional
Defines the property name and the property values to distinguish different
dimensions with compact=True. When compact=True it defaults to color, it is ignored otherwise.
- combined: bool, optional
Flag for combining multiple chains into a single line. If False (default), chains will be plotted separately.
- chain_prop: str or dict {str: array_like}, optional
Defines the property name and the property values to distinguish different chains. If compact=True it defaults to linestyle, otherwise it uses the color to distinguish different chains.
- legend: bool, optional
Add a legend to the figure with the chain color code.
- plot_kwargs, fill_kwargs, rug_kwargs, hist_kwargs: dict, optional
Extra keyword arguments passed to
arviz.plot_dist()
. Only affects continuous variables.- trace_kwargs: dict, optional
Extra keyword arguments passed to
matplotlib.axes.Axes.plot()
- labeller
labeller
instance
, optional Class providing the method
make_label_vert
to generate the labels in the plot titles. Read the Label guide for more details and usage examples.- rank_kwargs
dict
, optional Extra keyword arguments passed to
arviz.plot_rank()
- axes: axes, optional
Matplotlib axes or bokeh figures.
- backend: {“matplotlib”, “bokeh”}, optional
Select plotting backend.
- backend_config: dict, optional
Currently specifies the bounds to use for bokeh axes. Defaults to value set in rcParams.
- backend_kwargs: dict, optional
These are kwargs specific to the backend being used, passed to
matplotlib.pyplot.subplots()
orbokeh.plotting.figure()
.- show: bool, optional
Call backend show function.
- Returns:
- axes:
matplotlib
axes
orbokeh
figures
- axes:
See also
plot_rank
Plot rank order statistics of chains.
Examples
Plot a subset variables and select them with partial naming
>>> import arviz as az >>> data = az.load_arviz_data('non_centered_eight') >>> coords = {'school': ['Choate', 'Lawrenceville']} >>> az.plot_trace(data, var_names=('theta'), filter_vars="like", coords=coords)
Show all dimensions of multidimensional variables in the same plot
>>> az.plot_trace(data, compact=True)
Display a rank plot instead of trace
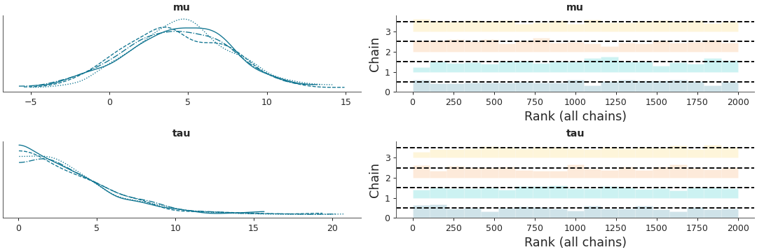
>>> az.plot_trace(data, var_names=["mu", "tau"], kind="rank_bars")
Combine all chains into one distribution and select variables with regular expressions
>>> az.plot_trace( >>> data, var_names=('^theta'), filter_vars="regex", coords=coords, combined=True >>> )
Plot reference lines against distribution and trace
>>> lines = (('theta_t',{'school': "Choate"}, [-1]),) >>> az.plot_trace(data, var_names=('theta_t', 'theta'), coords=coords, lines=lines)