arviz.plot_ts#

arviz.plot_ts(idata, y, x=None, y_hat=None, y_holdout=None, y_forecasts=None, x_holdout=None, plot_dim=None, holdout_dim=None, num_samples=100, backend=None, backend_kwargs=None, y_kwargs=None, y_hat_plot_kwargs=None, y_mean_plot_kwargs=None, vline_kwargs=None, textsize=None, figsize=None, legend=True, axes=None, show=None)[source]#

Plot timeseries data.

Parameters:
idataInferenceData

arviz.InferenceData object.

ystr

Variable name from observed_data. Values to be plotted on y-axis before holdout.

xstr, Optional

Values to be plotted on x-axis before holdout. If None, coords of y dims is chosen.

y_hatstr, optional

Variable name from posterior_predictive. Assumed to be of shape (chain, draw, *y_dims).

y_holdoutstr, optional

Variable name from observed_data. It represents the observed data after the holdout period. Useful while testing the model, when you want to compare observed test data with predictions/forecasts.

y_forecastsstr, optional

Variable name from posterior_predictive. It represents forecasts (posterior predictive) values after holdout period. Useful to compare observed vs predictions/forecasts. Assumed shape (chain, draw, *shape).

x_holdoutstr, Defaults to coords of y.

Variable name from constant_data. If None, coords of y_holdout or coords of y_forecast (either of the two available) is chosen.

plot_dim: str, Optional

Should be present in y.dims. Necessary for selection of x if x is None and y is multidimensional.

holdout_dim: str, Optional

Should be present in y_holdout.dims or y_forecats.dims. Necessary to choose x_holdout if x is None and if y_holdout or y_forecasts is multidimensional.

num_samplesint, default 100

Number of posterior predictive samples drawn from y_hat and y_forecasts.

backend{“matplotlib”, “bokeh”}, default “matplotlib”

Select plotting backend.

y_kwargsdict, optional

Passed to matplotlib.axes.Axes.plot() in matplotlib.

y_hat_plot_kwargsdict, optional

Passed to matplotlib.axes.Axes.plot() in matplotlib.

y_mean_plot_kwargsdict, optional

Passed to matplotlib.axes.Axes.plot() in matplotlib.

vline_kwargsdict, optional

Passed to matplotlib.axes.Axes.axvline() in matplotlib.

backend_kwargsdict, optional

These are kwargs specific to the backend being used. Passed to matplotlib.pyplot.subplots().

figsizetuple, optional

Figure size. If None, it will be defined automatically.

textsizefloat, optional

Text size scaling factor for labels, titles and lines. If None, it will be autoscaled based on figsize.

Returns:
axes: matplotlib axes or bokeh figures.

See also

plot_lm

Posterior predictive and mean plots for regression-like data.

plot_ppc

Plot for posterior/prior predictive checks.

Examples

Plot timeseries default plot

>>> import arviz as az
>>> nchains, ndraws = (4, 500)
>>> obs_data = {
...     "y": 2 * np.arange(1, 9) + 3,
...     "z": 2 * np.arange(8, 12) + 3,
... }
>>> posterior_predictive = {
...     "y": np.random.normal(
...         (obs_data["y"] * 1.2) - 3, size=(nchains, ndraws, len(obs_data["y"]))
...     ),
...     "z": np.random.normal(
...         (obs_data["z"] * 1.2) - 3, size=(nchains, ndraws, len(obs_data["z"]))
...     ),
...  }
>>> idata = az.from_dict(
...     observed_data=obs_data,
...     posterior_predictive=posterior_predictive,
...     coords={"obs_dim": np.arange(1, 9), "pred_dim": np.arange(8, 12)},
...     dims={"y": ["obs_dim"], "z": ["pred_dim"]},
... )
>>> ax = az.plot_ts(idata=idata, y="y", y_holdout="z")
../../_images/arviz-plot_ts-1.png

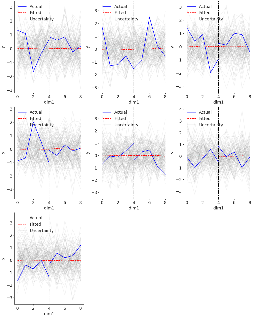
Plot timeseries multidim plot

>>> ndim1, ndim2 = (5, 7)
>>> data = {
...     "y": np.random.normal(size=(ndim1, ndim2)),
...     "z": np.random.normal(size=(ndim1, ndim2)),
... }
>>> posterior_predictive = {
...     "y": np.random.randn(nchains, ndraws, ndim1, ndim2),
...     "z": np.random.randn(nchains, ndraws, ndim1, ndim2),
... }
>>> const_data = {"x": np.arange(1, 6), "x_pred": np.arange(5, 10)}
>>> idata = az.from_dict(
...     observed_data=data,
...     posterior_predictive=posterior_predictive,
...     constant_data=const_data,
...     dims={
...         "y": ["dim1", "dim2"],
...         "z": ["holdout_dim1", "holdout_dim2"],
...     },
...     coords={
...         "dim1": range(ndim1),
...         "dim2": range(ndim2),
...         "holdout_dim1": range(ndim1 - 1, ndim1 + 4),
...         "holdout_dim2": range(ndim2 - 1, ndim2 + 6),
...     },
... )
>>> az.plot_ts(
...     idata=idata,
...     y="y",
...     plot_dim="dim1",
...     y_holdout="z",
...     holdout_dim="holdout_dim1",
... )
../../_images/arviz-plot_ts-2.png